Поляризация электромагнитной волны

Краткая теория

Волновое уравнение
Электромагнитная волна в однородной непроводящей среде без объемных зарядов удовлетворяет уравнениям, полученным из уравнений Максвелла: \begin{equation}\label{kinem_eq1} \begin{array}{l} \Delta \vec{E}(\vec{r}, t) - \frac{\varepsilon \mu }{c^2} \frac{\partial^2}{\partial t^2}\vec{E}(\vec{r},t)=0,\\\\ \Delta \vec{H}(\vec{r}, t) - \frac{\varepsilon \mu }{c^2} \frac{\partial^2}{\partial t^2}\vec{H}(\vec{r},t)=0. \end{array} \end{equation} Частным решением волнового уравнения является плоская волна, которая при соответствующем выборе направления оси $z$ выражается формулой \begin{equation}\label{kinem_eq2} \vec{E}=\vec{f}_1(z-\frac{c}{\sqrt{\varepsilon\mu}}\cdot t)+\vec{f}_2(z+\frac{c}{\sqrt{\varepsilon\mu}}\cdot t). \end{equation} Для плоской волны \begin{equation}\label{kinem_eq3} \vec{H}=\sqrt{\frac{\varepsilon}{\mu}}[\vec{e}_z\times \vec{E}],\; \vec{E}=-\sqrt{\frac{\mu}{\varepsilon}}[\vec{n}\times \vec{H}], \end{equation} где $\vec{n}=\vec{e}_z$ – единичный вектор в направлении распространения волны. Таким образом, плоская волна поперечна.
Плоская монохроматическая волна
\begin{equation}\label{kinem_eq4} \vec{E}=\vec{E}_0\exp \left[i(\omega t - (\vec{k}\cdot\vec{r})+\phi)\right], \end{equation} где $\vec{k}=\frac{\omega}{c}\sqrt{\varepsilon\mu}\vec{e}_z$ – волновой вектор. Модуль волнового вектора $|\vec{k}| = k$ связан с другими параметрами волны соотношениями \begin{equation}\label{kinem_eq5} k=\frac{n \omega}{c}=\sqrt{\varepsilon\mu}\frac{\omega}{c}=\frac{2\pi}{\lambda}=\frac{P}{\hbar} \end{equation} где $n=\sqrt{\varepsilon \mu}$ – показатель преломления среды, $\lambda$ – длина волны, $P$ – импульс, $\hbar= h/2\pi$ – постоянная Планка. Для плоской монохроматической волны соотношения \eqref{kinem_eq3} принимают вид: \begin{equation}\label{kinem_eq6} \vec{H}=\frac{c}{\omega\mu}[\vec{k}\times \vec{E}],\; \vec{E}=-\frac{c}{\omega\varepsilon}[\vec{k}\times \vec{H}]. \end{equation}
Скорость распространения волны
Фазовая скорость распространения волны $\vec{v}_{ф}=\frac{\vec{c}}{\sqrt{\varepsilon\mu}}$. Фазовая скорость относится к перемещению геометрического места точек, в которых волна характеризуется неизменной фазой, и не совпадает в общем случае ни по величине, ни по направлению со скоростью движения материальных объектов. Поэтому $v_{ф}$ может превышать скорость света в вакууме (ничто не запрещает существование среды, для которой одновременно $\varepsilon=1$ и $\mu < 1$).
Энергия волны
Вектор Пойнтинга в волне \begin{equation}\label{kinem_eq7} \vec{S}=\frac{c}{4\pi}[\vec{E}\times \vec{H}]. \end{equation}

Физический смысл $i-$й компоненты вектора Пойнтинга – энергия излучения, падающая в единицу времени на единичную площадку с нормалью, направленной вдоль оси $x_i$.

В случае плоской волны абсолютная величина вектора Пойнтинга равна $$ \begin{array}{l} S=\frac{c}{4\pi}E\cdot H = \frac{c}{8\pi}\left( E\cdot \sqrt{\frac{\varepsilon}{\mu}}E + H\cdot \sqrt{\frac{\mu}{\varepsilon}}H \right)=\\\\ =\frac{c}{\sqrt{\varepsilon\mu}}\left( \frac{ED}{8\pi} + \frac{HB}{8\pi} \right) =v_ф\left( \frac{ED}{8\pi} + \frac{HB}{8\pi} \right). \end{array} $$ Плотность энергии в волне $w=\frac{dW}{dV}=\frac{ED}{8\pi} + \frac{HB}{8\pi}$. Таким образом, формально плоскую монохроматическую волну можно описывать как распределение плотности энергии неизменной формы, движущееся со скоростью $\vec{v}_{\text{ф}}$. При этом следует понимать, что до тех пор, пока волна остается идеальной плоской монохроматической, никакой прибор не сможет обнаружить отличие ее от неподвижного в пространстве распределения плотности энергии, переменной во времени. Другими словами, плоская монохроматическая волна не несет информации от некоторого источника, поэтому бессмысленно применять к ней понятие скорости распространения сигнала.

Средний по времени вектор Пойтинга равен $$ <\vec{S}>=\frac{c}{8\pi}\text{Re}\{[\vec{E}\times \vec{H}^*]\}. $$
Сферическая волна
\begin{equation}\label{kinem_eq8} \vec{E}=\frac{\vec{E}_0}{r}\exp i\left[-(\vec{k}\cdot\vec{r})+\omega t+\phi\right]. \end{equation}
Поляризация
Пусть плоская монохроматическая волна распространяется вдоль оси z, которая направлена на нас. Зафиксируем плоскость z=$\text{const}$ и рассмотрим в этой плоскости вектор $\vec{E}(t)$ как функцию времени. Нетрудно показать, что в общем случае конец вектора $\vec{E}(t)$ с течением времени описывает эллипс, который в частных случаях может представлять собой окружность, либо отрезок. Перечисленным случаям соответствует эллиптическая, круговая и линейная поляризация волны. В двух первых случаях вектор поворачивается со временем либо по ходу часовой стрелки (правая поляризация), либо против хода часовой стрелки (левая поляризация).
Поляризацию волны удобно характеризовать двумерным вектором $\vec{E}_0(t)= E_x {\e}^{i\omega t}\cdot \vec{e}_x + E_y {\e}^{i(\omega t+\phi)}\cdot \vec{e}_y = E_0(t) \left(a; b{\e}^{i\phi} \right),$ где $a$ и $b$ – действительные числа.

Линейная поляризация: $\phi=m\pi$, где $m$ – целое (частный случай $a=0$ или $b=0$).

Круговая поляризация: $a=b,\; \phi=\pm\pi/2$.

Общий случай – эллиптическая поляризация (левая при $\phi<0$, правая при $\phi>0$). Обратим внимание на то, что ту же волну можно было бы описывать выражениями $$ \begin{array}{l} E_x(\vec{r},t)=E_{0x}\exp i\left[(\vec{k}\cdot\vec{r})-\omega t\right],\\ E_y(\vec{r},t)=E_{0y}\exp i\left[(\vec{k}\cdot\vec{r})-\omega t + \phi\right]. \end{array} $$ Тогда случай $\phi>0$ соответствует отставанию, а не опережению по фазе, и при прежних прочих условиях отвечает левой, а не правой поляризации.

При падении плоской монохроматической волны из среды с показателем $n_1$ в среду с показателем $n_2$ с углом падения $\theta_0$, отражения $\theta_1$ и преломления $\theta_2$ выполняются законы отражения $\theta_0=\theta_1$ и преломления (закон Снеллиуса): \begin{equation}\label{kinem_eq9} \frac{\sin \theta_2}{\sin \theta_0}=\frac{n_1}{n_2} \end{equation}
Формулы Френеля
Представим вектор $E_0$ как сумму двух векторов $\vec{E}_0 = \vec{E}_0^{\perp} + \vec{E}_0^{\parallel}$, где $\vec{E}_0^{\parallel}$ – вектор электрического поля падающей волны, лежащий в плоскости падения (TM-волна), а $\vec{E}_0^{\perp}$ – вектор электрического поля падающей волны, перпендикулярный плоскости падения (TE-волна). Тогда для отраженной волны получается \begin{equation}\label{kinem_eq10} \frac{\vec{E}_1^{\parallel}}{\vec{E}_0^{\parallel}}=\frac{\tg (\theta_0 -\theta_2)}{\tg (\theta_0 +\theta_2)},\; \frac{\vec{E}_1^{\perp}}{\vec{E}_0^{\perp}}=-\frac{\sin (\theta_0 -\theta_2)}{\sin (\theta_0 +\theta_2)}. \end{equation} В формуле \eqref{kinem_eq10} исходно предполагается, что $\vec{E}_1^{\perp}\upuparrows\vec{E}_0^{\perp}$ и $\vec{H}_1^{\parallel}\upuparrows\vec{H}_0^{\parallel}$ (при этом $\vec{E}_1=-\frac{c}{\omega}[\vec{k}_1\times \vec{H}_1]$). Если отношение амплитуд падающей и отраженной волн отрицательно, направление поля в отраженной волне противоположно исходно предполагавшемуся.
Для преломленной волны \begin{equation}\label{kinem_eq11} \frac{\vec{E}_2^{\parallel}}{\vec{E}_0^{\parallel}}= \frac{2\cos \theta_0 \sin \theta_2}{\sin (\theta_0 +\theta_2)\cos (\theta_0 -\theta_2)},\; \frac{\vec{E}_2^{\perp}}{\vec{E}_0^{\perp}}= \frac{2\cos \theta_0 \sin \theta_2}{\sin (\theta_0 +\theta_2)}. \end{equation} Всегда $\vec{E}_2^{\perp}\upuparrows\vec{E}_0^{\perp}$ и $\vec{H}_2^{\parallel}\upuparrows\vec{H}_0^{\parallel}$.

Задача №608

Плоская монохроматическая волна с круговой поляризацией падает под углом 30° из прозрачной диэлектрической среды с проницаемостью $\varepsilon=2$ ($\mu = 1$) в воздух. Найти отношение полуосей эллиптически поляризованной отражённой волны.

Показать решение

Задача №607

Плоская монохроматическая волна с круговой поляризацией падает из воздуха на плоскую границу диэлектрика с проницаемостью $\varepsilon = 1.5\, (\mu = 1)$ под углом $60^{\circ}$. Найти отношение полуосей эллиптически поляризованной отражённой волны.

Показать решение

Задача №606

Неполяризованный свет падает по нормали на стопку из трёх поляроидов. Угол между осями поляризации первого и последнего равен $90^{\circ}$, а первого и среднего – $45^{\circ}$. На какой минимальный угол нужно повернуть средний поляроид, чтобы интенсивность прошедшего света упала в 4 раза?

Показать решение

Задача №605

Неполяризованный свет падает по нормали на стопку из трёх поляроидов. Угол между осями поляризации первого и последнего равен $90^{\circ}$, а первого и среднего – $45^{\circ}$. На какой минимальный угол нужно повернуть средний поляроид, чтобы интенсивность прошедшего света упала в 2 раза?

Показать решение

Задача №562

Лазер излучает линейно поляризованный свет. Луч лазера направляют из воздуха на плоскую границу диэлектрика с проницаемостью $\varepsilon = 2$ ($\mu$ = 1) под углом $\theta_0 = 45^{\circ}$. Найти отношение минимального и максимального коэффициента отражения по интенсивности $\frac{R_{min}}{R_{max}}$ при повороте лазера вокруг своей оси.

Показать решение

Задача №530

Угол наклона идеальной зеркальной крыши составляет 30$^{\circ}$ от направления распространения ЭМ волны от передатчика, удаленного на бесконечность вдоль оси $z$. Как следует ориентировать и на каком минимальном расстоянии $D$ от крыши расположить штыревую антенну для обеспечения оптимального приема, если ЭМ волна поляризована по оси $y$? Длина волны передатчика $\lambda$.

Показать решение

Задача №513

Плоская электромагнитная волна $\vec{E} = (a\vec{e}_x + b\vec{e}_y ){\e}^{i(kz-\omega t)}$ ($a$ и $b$ – действительные числа, $a > b > 0$), распространяющаяся вдоль оси $z$, падает на поляроид, расположенный в плоскости $(xy)$. Под каким углом к оси $x$ необходимо сориентировать направление пропускания поляроида для того, чтобы интенсивность прошедшей волны была максимальной?

Показать решение

Задача №512

Плоская электромагнитная волна $\vec{E} = (a\vec{e}_x + b\vec{e}_y ){\e}^{i(kz-\omega t)}$ ($a$ и $b$ – действительные числа, $a > b > 0$), распространяющаяся вдоль оси $z$, падает на поляроид, расположенный в плоскости $(xy)$. Под каким углом к оси $x$ необходимо сориентировать направление пропускания поляроида для того, чтобы интенсивность прошедшей волны была минимальной?

Показать решение

Задача №508

Плоская линейно-поляризованная волна падает на плоскую границу раздела двух сред. Коэффициент её отражения по интенсивности равен $r$, а составляющих её $s-$ и $p-$волн, соответственно, $r_s$ и $r_p$. Найти угол между плоскостью поляризации падающей волны и плоскостью падения.

Показать решение

Задача №434

Найти степень поляризации естественного (неполяризованного) света в воздухе $(n_в=1)$ после отражения под углом $\theta_0 = 60^{\circ}$ от плоской границы среды с показателем преломления $n=\sqrt{3}$. Степень поляризации принять равной $K=\frac{I_s-I_p}{I_s+I_p}$, где $I_s, \, I_p$ – интенсивности соответственно $s$ (ТЕ) и $p$ (ТМ)-поляризованного света.

Показать решение

Задача №433

Найти степень поляризации естественного (неполяризованного) света в воздухе $(n_в=1)$ после отражения под углом $\theta_0 = 45^{\circ}$ от плоской границы среды с показателем преломления $n=\sqrt{2}$. Степень поляризации принять равной $K=\frac{I_s-I_p}{I_s+I_p}$, где $I_s, \, I_p$ – интенсивности соответственно $s$ (ТЕ) и $p$ (ТМ)-поляризованного света.

Показать решение

Задача №390

На бесконечно тонкую пластину падает по нормали линейно поляризованная волна. На пластину нанесены параллельные проводящие дорожки с шагом, много меньшим длины волны, так, что выполняется закон Ома (поверхностный ток $i_{x,y} =\sigma_{x,y}\cdot E_{x,y}$), а поверхностная проводимость анизотропна $\sigma_x = \sigma^*,\, \sigma_y = 0$. Найти коэффициент отражения волны по интенсивности, если волна поляризована под углом $\alpha$ к направлению дорожек.

Показать решение

Задача №389

На бесконечно тонкую пластину падает по нормали волна с круговой поляризацией. На нее нанесены параллельные проводящие дорожки с шагом, много меньшим длины волны, так, что выполняется закон Ома (поверхностный ток $i_{x,y} =\sigma_{x,y}\cdot E_{x,y}$), а поверхностная проводимость анизотропна $\sigma_x = \sigma^*,\, \sigma_y = 0$. Найти коэффициент отражения волны по интенсивности.

Показать решение

Задача №341

Электромагнитная волна, поляризованная по кругу, падает из оптически более плотной среды на плоскую границу диэлектрика под углом Брюстера, при этом коэффициент ее отражения по мощности равен 1/8. Определить угол полного внутреннего отражения.

Показать решение

Задача №340

Электромагнитная волна, поляризованная по кругу, падает из воздуха на плоскую границу диэлектрика под углом Брюстера, при этом коэффициент ее отражения по мощности равен 1/8. Найти коэффициент отражения по мощности при нормальном падении.

Показать решение

Задача №339

На плоскую границу раздела двух сред со стороны оптически менее плотной среды падает под некоторым углом плоская электромагнитная ТЕ-волна. Найти коэффициент пропускания по мощности, если коэффициент пропускания по амплитуде равен $d$.

Показать решение

Задача №338

На плоскую границу раздела двух сред со стороны оптически более плотной среды под углом, меньшим угла полного внутреннего отражения, падает плоская электромагнитная ТЕ-волна. Найти коэффициент пропускания по амплитуде, если коэффициент отражения по мощности равен $R$.

Показать решение

Задача №293

На плоскую границу раздела двух сред с диэлектрическими проницаемостями $\varepsilon_1$, $\varepsilon_2$ и магнитными проницаемостями $\mu_1$, $\mu_2$ падает TM волна. Определить коэффициент отражения по амплитуде, если известно, что $\varepsilon_1 \mu_1=\varepsilon_2 \mu_2$, при этом $\varepsilon_1 = \mu_1$, а $\varepsilon_2 = 4\mu_2$.

Показать решение

Задача №292

На плоскую границу раздела двух сред с диэлектрическими проницаемостями $\varepsilon_1$, $\varepsilon_2$ и магнитными проницаемостями $\mu_1$, $\mu_2$ падает TE волна. Определить коэффициент отражения по амплитуде, если известно, что $\varepsilon_1 \mu_1=\varepsilon_2 \mu_2$, при этом $\varepsilon_1 = 4\mu_1$, а $\varepsilon_2 = \mu_2$.

Показать решение

Задача №289

TE-волна $\vec{E}_0=\vec{E}_{0m}\e^{i(\vec{k}\vec{r}-\omega t)}$ падает под углом $\phi=45^{\circ}$ на плоское идеально проводящее зеркало. Найти плотности поверхностных зарядов и токов, наведенных в зеркале.

Показать решение

Задача №288

TM-волна $\vec{E}_0=\vec{E}_{0m}\e^{i(\vec{k}\vec{r}-\omega t)}$ падает под углом $\phi=45^{\circ}$ на плоское идеально проводящее зеркало. Найти плотности поверхностных зарядов и токов, наведенных в зеркале.

Показать решение

Задача №258

Нерелятивистская частица с зарядом $q$ движется по эллиптической траектории согласно $x(t)$=$a \cos \omega t$, $y(t)$=$b \sin \omega t$ ($a,b\ll \frac{c}{\omega}$). Определить среднюю по времени мощность, излучаемую частицей в полный телесный угол.

Показать решение

Задача №247

Плоская тонкая проводящая пластинка разделяет области с показателями преломления $n_1$ и $n_2$ ($n_2<n_1$). Со стороны области 1 на пластинку под углом полного внутреннего отражения падает $TE$-волна. Найти удельную проводимость пластинки $\sigma^*$ (ток на единицу длины $\vec{i}=\sigma^*\vec{E}$), при которой отраженная волна отсутствует.

Показать решение

Задача №245

В длинном волноводе квадратного сечения $a\times a$ с идеально проводящими стенками вдоль оси $z$ в области $z<0$ распространяется $E_{11}$-волна. Область $z<0$ волновода заполнена диэлектриком с проницаемостью $\varepsilon $ ($\mu=1$), а область $z>0$ – пуста. Определите частоту волны, при которой не будет волны, отраженной от границы раздела $z=0$.

Показать решение

Задача №244

В длинном волноводе квадратного сечения $a\times a$ с идеально проводящими стенками вдоль оси $z$ в области $z<0$ распространяется $E_{11}$-волна. Область $z<0$ волновода заполнена диэлектриком с проницаемостью $\varepsilon$ ($\mu=1$), а область $z>0$ – пуста. Определите максимальную частоту волны, при которой она полностью отразится от границы раздела $z=0$.

Показать решение

Задача №239

В стоячей волне частоты $\omega$, возбужденной в прямом двугранном угле (см. рисунок) с идеально проводящими стенками, магнитное поле имеет вид $\vec{B}(x,y,t)=B(x,y){\text{e}}^{i\omega t}\vec{e}_z$, где $B(x,y)=B_0 f(y)\cos\frac{\omega x}{2c}$. Требуется найти множитель $f(y)$.

Показать решение

Задача №238

В стоячей волне частоты $\omega$, возбужденной в прямом двугранном угле (см. рисунок) с идеально проводящими стенками, электрическое поле имеет вид $\vec{E}(x,y,t)=E(x,y){\text{e}}^{i\omega t}\vec{e}_z$, где $E(x,y)=E_0 f(y)\sin\frac{\omega x}{2c}$. Требуется найти множитель $f(y)$.

Показать решение

Задача №237

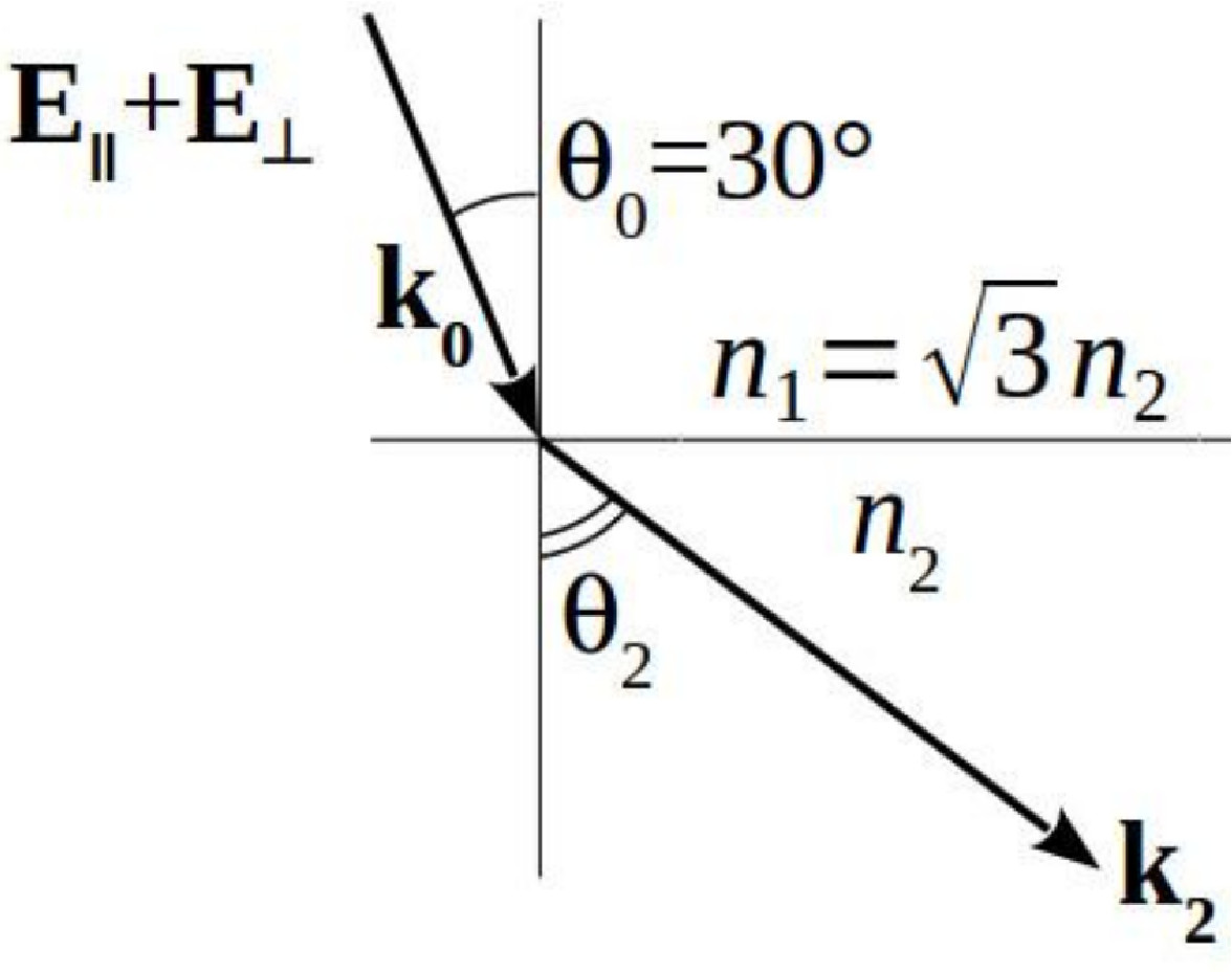
На границу раздела двух диэлектриков с показателями преломления $n_1$ и $n_2$ $(n_1$=$\sqrt{3}n_2$, $\mu_{1,2}=1)$ падает под углом падения $\theta_0 =30^{\circ}$ эллиптически поляризованная волна с компонентами электрического поля, перпендикулярного плоскости падения $E_{\perp}=E_0{\e}^{i(\vec{k}\vec{r}-\omega t)}$ и лежащего в плоскости падения $E_{\parallel}=\frac{\sqrt{3}}{2}E_0{\e}^{i(\vec{k}\vec{r}-\omega t-\pi/2)}$. Определить поляризацию преломленной волны и отношение интенсивности отраженной волны к интенсивности падающей волны.

Показать решение

Задача №234

На границу раздела двух диэлектриков с показателями преломления $n_1$ и $n_2$ $(n_1$=$\sqrt{3}n_2$, $\mu_{1,2}=1)$ падает под углом падения $\theta_0 =30^{\circ}$ эллиптически поляризованная волна с компонентами электрического поля, перпендикулярного плоскости падения $E_{\perp}=E_0{\e}^{i(\vec{k}\vec{r}-\omega t)}$ и лежащего в плоскости падения $E_{\parallel}=\frac{\sqrt{3}}{2}E_0{\e}^{i(\vec{k}\vec{r}-\omega t+\pi/2)}$. Определить поляризацию преломленной волны и отношение интенсивности отраженной волны к интенсивности падающей волны.

Показать решение

Задача №232

Волновое поле представляет собой суперпозицию двух ТЕ-волн с одинаковыми амплитудами $E$=$E_0\vec{e}_z$ и волновыми векторами $\vec{k}_1$=$k(-\sin\beta\vec{e}_x+ \cos\beta\vec{e}_y)$_y и $\vec{k}_2 = k(\sin\beta\vec{e}_x + \cos\beta\vec{e}_y)$. Определить поверхности с нулевым электрическим полем.

Показать решение

Задача №231

Волновое поле представляет собой суперпозицию двух ТЕ-волн с одинаковыми амплитудами $E=E_0\vec{e}_z$ и волновыми векторами $\vec{k}_1=k(\cos\alpha\vec{e}_x + \sin\alpha\vec{e}_y)$ и $\vec{k}_2 = k(\cos\alpha\vec{e}_x - \sin\alpha\vec{e}_y)$. Определить поверхности с нулевым электрическим полем.

Показать решение

Задача №192

Плоская монохроматическая электромагнитная волна с частотой $\omega_0$, с круговой поляризацией, распространяющаяся вдоль оси $z$, падает на систему из трех поляроидов. Ось первого поляроида ориентирована вдоль оси $x$, ось второго поляроида вращается относительно оси $z$ (в плоскости $z=\text{const}$) с частотой $\Omega\ll \omega_0$, ось третьего поляроида ориентирована по оси $y$. Расстояние между поляроидами много меньше длины волны. Найти спектр амплитуды $|E(\omega)|$ прошедшего сигнала.

Показать решение

Задача №191

Свет падает из воды (показатель преломления $4/3$) в воздух (показатель преломления считать единицей) под таким углом падения $\theta_0$, при котором TM-волна полностью проходит. Найти $\cos(\theta_0)$ и $\cos(\theta_2)$ (см. рис.). Найти отношение интенсивности прошедшего света к интенсивности падающего света для TE-волны при данном угле падения.

Показать решение

Задача №189

Плоская монохроматическая электромагнитная ТM-волна с длиной волны $\lambda$ и амплитудой электрического поля $E_0$ падает на уголковый отражатель с идеально проводящими стенками, под углом $\alpha$ к одной из граней. Найти распределение электрического поля $E(x,y,t)$ в области $x\leqslant 0,\; y\geqslant 0$.

Показать решение

Задача №186

Плоская монохроматическая электромагнитная ТЕ–волна с длиной волны $\lambda$ и амплитудой электрического поля $E_0$ падает на уголковый отражатель с идеально проводящими стенками, под углом $\alpha$ к одной из граней. Найти распределение электрического поля $E(x,y,t)$ в области $x\leqslant 0,\; y\geqslant 0$.

Показать решение

Задача №171

Плоская тонкая проводящая пластинка с удельной проводимостью $\sigma^*$ ($\vec{i}=\sigma^*\vec{E}$, $\vec{i}$ - ток на единицу длины) разделяет области с диэлектрическими проницаемостями $\varepsilon_1$ и $\varepsilon_2$ ($\mu_1=\mu_2=1$). Со стороны области 1 на пластинку по нормали падает плоская линейно поляризованная монохроматическая волна с амплитудой $E_0$. Для случая $\varepsilon_1=\varepsilon_2=1$ найти среднюю по времени поглощаемую в пластинке мощность $w$ на единицу поверхности (1 б). При какой $\sigma^*$ $w$ максимальна (1 б)? Для случая $\varepsilon_1$>$\varepsilon_2$ найти $\sigma^*$, при которой отраженная волна отсутствует (2 б).

Показать решение

Задача №168

Определить электрическое и магнитное поля, а также поляризацию и направление распространения волны, заданной с помощью векторного потенциала $\vec{A}(\vec{r},t)=(a\vec{e}_x+ib\vec{e}_y) e^{i(kz-\omega t)}$, $\varphi=0$.

Показать решение

Задача №167

Пучок естественного (неполяризованного) света падает из жидкости на плоскую границу раздела жидкость/стекло (показатель преломления стекла равен 3/2, магнитные проницаемости жидкости и стекла считать равными единице). Отраженный пучок света составляет угол $\phi$ с падающим пучком. Определить показатель преломления жидкости, если отраженный свет поляризован линейно.

Показать решение

Задача №164

Стоячая волна образована падающей и отраженной от идеально проводящей плоскости $z=0$ волнами. Электрическое поле падающей волны $\vec{E}(z,t)=E_0 (\vec{e}_x+i\vec{e}_y){\text{e}}^{i (-kz-\omega t)}$. Найти $z=z_n$ ($n$=1,2,3,...) – расстояния от идеально проводящей плоскости до плоскостей, в которых суммарные поля падающей и отраженной волн $\vec{E}$ и $\vec{B}$ в каждый момент времени равны по модулю и направлены в противоположные стороны.

Показать решение

Задача №163

На плоскую границу раздела сред с вещественными магнитными проницаемостями $\mu_1,\; \mu_2$ и диэлектрическими проницаемостями $\varepsilon_1=\varepsilon_2=\varepsilon$ падает плоская монохроматическая TE-волна, как показано на схеме. При каком значении угла падения $\phi$ отраженная волна отсутствует? (3 б).

Показать решение

Задача №76

Две щели освещаются циркулярно поляризованным светом
$\vec{{E}}=\left( {\vec{{e}}_{x} +i\vec{{e}}_{y} } \right)E_{0} /\sqrt 2 \exp \left( {ikz-i\omega t} \right)$, падающим перпендикулярно плоскости щелей (схема Юнга). Длины волн света равномерно распределены в узком диапазоне $\lambda \pm \Delta \lambda ,\;\Delta \lambda \ll \lambda $. За одной из щелей помещен поляроид, направление пропускания которого $(x)$ совпадает с прямой, соединяющей щели (см.  рисунок). Определить распределение интенсивности света $I(x)$ на экране, расположенном параллельно плоскости щелей на расстоянии $l$ от нее. Расстояние между щелями $d$, их ширина существенно меньше длины волны света.

Показать решение

Задача №62

В $H_{mn}$-волне, распространяющейся по волноводу, структура продольной компоненты магнитного поля $\hat{{B}}_{z} =\hat{{B}}_{z}^{(m,n)} (x,y)\;{\text{e}}^{ikz}$ и собственные значения $\gamma_{m,n}$ (определяются из задачи \[ \Delta_{\bot} \hat{B}_z^{(m,n)} (x,y) +\mbox{$\gamma_{mn}^2$} \hat{B}_z^{(m,n)} (x,y)=0,\quad \left. \frac{\partial \hat{B}_z^{(m,n)} }{\partial n} \right|_{\Gamma } =0)\; \] известны. С помощью двух поперечных металлических перегородок $z$ $=$ 0, $z$ $=$ $L$ из данного волновода получили резонатор. Найти спектр собственных частот этого резонатора для моды колебаний с электрическим полем, не имеющим $z$-составляющей (3 б). Какова здесь $z$-компонента магнитного поля $B_{z}$ как функция $x$, $y$, $z$? (1 б)

Показать решение

Задача №45

В плоскости $z=0$ бесконечного прямоугольного волновода с сечением $a\times b$, $(a>b)$ с идеально проводящими стенками натянута тонкая пленка с проводимостью $\sigma_{\ast }$, определяющей связь $\vec{i}=\sigma_{\ast }\vec{E}_{\bot }$ между поверхностной плотностью тока в пленке и поперечной составляющей электрического поля $E_{\bot }=(E_{x},E_{y})$. Вдоль волновода бежит волна типа $H_{10}$ с полем $B_{z}=B_{0}\mathrm{\cos}\left( \frac{\pi }{a}x\right){\text{e}}^{i(k_{z}z-\omega t)}$. Найти амплитуду $B_{1}$ в волне $B_{z}^{(1)} = B_1\cos\left(\frac{\pi}{a}x\right){\text{e}}^{i(-k_{z}z-\omega t)}$, отраженной от пленки.

Показать решение

Задача №42

В волноводе с металлическими стенками квадратного сечения $a\times a$ область $z\leqslant 0$ заполнена диэлектриком с $\varepsilon _{1}$ $=$ 3$\varepsilon_{0}$, а область $z>0$ — диэлектриком с $\varepsilon_{2}$ $=$ $\varepsilon_{0}$. По диэлектрику $\varepsilon_{1}$ к плоской границе идет волна H$_{10}$. В каком диапазоне частот $\omega_{1}\div\omega_{2}$ должна находиться частота волны, чтобы произошло полное отражение волны.

Показать решение

Задача №35

Эллиптически поляризованный свет падает на пластину идеального поляроида по нормали к ее поверхности. Вектор электрического поля задан в виде $\vec{E}(\vec{r},t)=(E_{0x}\vec{e}_x+iE_{0y}\vec{e}_y){\e}^{i(kz-\omega t)}$. Ось пропускания поляроида составляет с осью $x$ угол $\phi$. Определить, какая доля интенсивности волны пройдет через поляроид.

Показать решение

Задача №34

Плоская монохроматическая волна естественного света с интенсивностью $I_{0}$ падает на непрозрачный экран с круглым отверстием, представляющим для точки $P$ первую зону Френеля. Отверстие перекрывают двумя поляризаторами с перпендикулярными направлениями поляризации, закрывающими каждый половину круга. Найти интенсивность в точке $P$ и сравнить со случаем, когда отверстие перекрыто одним поляроидом.

Показать решение

Задача №29

Эллиптически поляризованные волны с волновыми векторами $\vec{k}_{1}=k\vec{e}_z$, $\vec{k}_{2}=k\cos\alpha\vec{e}_z+k\sin\alpha\vec{e}_x$ соответственно заданы полями \[ \begin{array}{l} \vec{E}_{1}\left( z,t \right)=(E_{11}\vec{e}_{x}-iE_{12}\vec{e}_{y}){\text{e}}^{i(kz-\omega t)}, \\ \vec{E}_{2}\left( x,z,t \right)=(E_{21}\vec{e}_{x}+E_{22}{\text{e}}^{i\delta }\vec{e}_{y}-E_{23}\vec{e}_{z}){\text{e}}^{ik(z\cos\alpha +x\sin\alpha)}{\text{e}}^{-i\omega t}, \end{array} \] где $E_{ik}>0$ – вещественные константы, $\delta $ – начальная фаза.

1. Вычислить интерференционный член $I_{12}$ для этих волн (2 б).
2. Выяснить условия, при которых $I_{12}\equiv 0$, т. е. рассматриваемые волны не интерферируют (3 б).

Показать решение

Задача №28

Волна круговой поляризации с электрическим полем $\vec{E}_{\text{пад}}(z,t)=E_{0}(\vec{e}_x+i\vec{e}_y){\e}^{i(\vec{k}\vec{z}-\omega t)}$ падает на идеально проводящую границу $z = 0$. Выписать выражение для магнитного поля $B_{\text{отр}}(z,t)$ отраженной волны, считая $\varepsilon = \mu = 1$ в полупространстве $z < 0$.

Показать решение

Задача №27

Найти коэффициенты отражения и прохождения для TM-волны, падающей под углом $\theta$ на плоскую пластину с поверхностной проводимостью $\sigma^*$ ($i = \sigma^* E$).

Показать решение

Задача №26

Монохроматическая плоская ТМ-волна с электрическим полем $\vec{{E}}_{0} {\text{e}}^{i(\vec{k}\vec{r}-\omega t)}$ падает под углом $\alpha $ на границу идеально проводящего полупространства $y>0$ (см. рисунок). Найти поверхностные плотности тока $i_{x} (x,t)$ и заряда $\Sigma (x,t)$, возникающие на границе $y=0$.

Показать решение

Задача №25

На идеально проводящее полупространство $z\geqslant 0$ из пустоты падает плоская монохроматическая TM-волна с амплитудой $E_{0}$ и частотой $\omega $ под углом $\phi $ к оси $z$ ($zx$ – плоскость падения). Найти распределение поверхностной плотности зарядов $\sigma (x,t)$ и тока $i_{0}(x,t)$ на поверхности проводника.

Показать решение